본문 바로가기

수학/수치해석

14차시 - 미분방정식과 해 1 (2)

3. 오일러(Euler) 방법

1) 오일러 방법

오일러 방법
- 수치해법을 통해서 미분방정식을 푸는 방법
- 테일러 급수에서 유도된 방법으로 비교적 오차가 크게 발생

 

목적
- 초기치미분방정식 y’(t)=f(t,y), atb, y(a)=y0의 수치적 해를 구하는 방법
- 다음과 같은 조건이 주어졌을 때 함수 f(x)의 값을 추정

- 함수 f의 정확한 형태를 구하는 것보다 구간 a, b사이에서의 특정한 점들(격자점, mesh point)에서의 함수값 y,에 대한 근사값을 얻음

 

2) 오일러 방법의 기본원리

다음과 같은 조건이 주어졌을 때

- 구간 [a,b]N개의 구간으로 나누고 각각의 점을 ti=a+ih(i=1,2,...,N)이라고 함.
- h
를 간격크기라 부르며 h=b-a/N으로 정리함.
-
함수 f(x)에 대한 테일러 급수를 이용하면,

 

3) 오일러 방법의 알고리즘

 

4) 예제풀이

(1)

 

(2)

 

(3)

 

5) 오일러 방법의 보조정리

오일러 방법의 보조정리 1

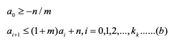
x≥-1인 모든 x와 모든 양의 정수 m에 대해 다음 부등식이 성립

 

오일러 방법의 보조정리 2

m과n이 양의 실수이고 {a} 다음과 같은 성질을 갖는 수열 일때,

다음 부등식이 성립

 

6) 오일러 방법의 정리

오일러 방법의 정리 1
y(t)
를 잘 구성된 아래의 초기치 문제의 유일한 해라고 할 때,

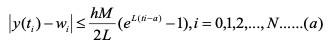
그리고 양의 정수 N에 대해 오일러 방법으로 근사값 w0, w1, ..., wN을 얻었다고 하면 f가 리프시츠(Lipschitz) 상수 L에 대해 집합

위의 리프시츠 조건을 만족하고 어떤 상수 M이 존재하여, 모든 t∈{a,b}에 대해

이면, 다음 부등식이 성립

i=0일 때는 결과가 자명

 

위 정리를 사용하기 위해서는 정확한 해의 2차 도함수의 한계를 알아야만 되는 어려움이 발생하며, 따라서 이 조건 때문에 실질적인 오차의 한계를 계산하지 못하는 경우가 자주 있으나 f / tf / y 가 둘 다 존재하면, 해를 실제로 알지 못해도 오차의 한계를 계산

 

 

오일러 방법의 정리 2

y(t)를 잘 구성된 초기치 문제의 유일한 해

그리고 u0, u1, ..., uN을 오일러 방법을 통해 얻은 근사값이라고 가정

오일러의 정리 1의 가정이 위의 식에 대해 성립하면 다음 부등식이 성립

 

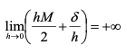
위의 오차한계는 h에 대해서 더 이상 1차적이 아니므로 실제로

이기 때문에 h값이 너무 적으면 오차는 커질 것으로 예상
이런 경우에 h의 하한값을 미적분에서 사용했던 방법으로 취득가능

 

'수학 > 수치해석' 카테고리의 다른 글

16차시 - 최소자승법  (0) 2020.04.02
15차시 - 미분방정식과 해 2  (0) 2020.04.01
14차시 - 미분방정식과 해 1 (1)  (0) 2020.03.31
13차시 - 수치적분(2)  (0) 2020.03.30
13차시 - 수치적분(1)  (0) 2020.03.30