1. 수치적분
1) 수치적분이란?
-
수치적으로 적분값에 가까운 근사값을 구함
- 함수 f(x)의 x=a에서 x=b까지의 적분값은 구간 [a, b]위에 곡선 f(x)로 둘러 쌓인 면적을 의미
- 함수의 부정적분이 일반적으로 명확한 함수의 형태로 나타나지 않으면 정확한 정적분을 구하기 어려움
- 수치적분을 통해 적분값에 가까운 근사값을 구함 - 가중치함수(weighting function)
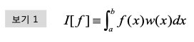
- 함수w(x)는 구간 [a, b]위에 w(x) ≠ 0이고 w(x) ≥ 0 - 수치적분법(구적법, Quadrature rule)
- 구간 [a, b]의 마디점을 a=x0<x1<...<xn=b일 때, I[f]의 근사값을 수치적분이라 함.

- xi를 마디점(node), wi를 가중치(weight), E[f] ≡ I[f] – Q를 오차
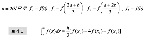
2) 정밀도
- 다음 보기 1을 만족하는 n을 수치적분법의 정밀도라 함.

- 정밀도가 n이면 n차 다항식 pn(x)에 대한 수치적분법은 정확하므로 정밀도가 클수록 참값에 가까워짐.
2. 수치적분법
1) Newton-Cotes 수치적분법
- 마디점 간격이 같은 Newton-Cotes
- 함수 f(x)의 [a, b]에서 적분값을 구하기 위해서 [a, b]를 보기1과 같이 균등하게 분할



2) 여러가지 수치적분법
- n = 1 이면 사다리꼴 공식(trapezoidal rule)
- n = 2 이면 Simpson의 공식
- n = 3 이면 Simpson의 3/8공식
- n = 4 이면 Boole의 공식
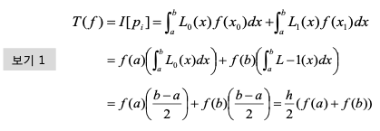
3) 사다리꼴 공식
- 가장 간단한 형태의 적분
- fi=f(xi)라 하면 사다리꼴 공식의 경우 n=1이므로 b-a=h

- 보기 1과 같이 사다리꼴 공식을 얻을 수 있음.

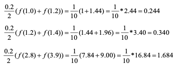
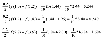
4) 사다리꼴 공식을 이용한 적분값 구하기
- 오차를 줄이기 위해 적분구간을 10개로 나누어 계산


5) MATLAB을 이용한 사다리꼴 공식

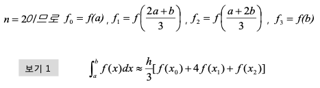
6) Simpson 공식

- 사다리꼴 공식과 비슷하게 보기 1과 같이 Simpson 공식을 얻을 수 있다.

7) MATLAB을 이용한 Simpson 공식
다음은 심프슨 공식을 이용하여 적분값 f (x) = x2일때, ∫(1,3) f(x)dx 을 매트랩으로 구하여라.

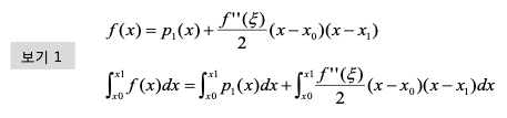
8) 오차
- 라그랑주 다항식에 대한 오차 공식을 사용하여 유도
- 제 1차 라그랑주 다항식 p1을 정리하여 적분

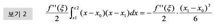
- 보기 1의 오차항의 적분은 보기 2와 같음.

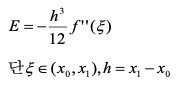
- 사다리꼴 공식의 오차

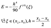
- Simpson 공식의 오차

- 구적법의 오차공식은 구적법의 공식들을 적용하였을 때 정확한 결과를 얻게 되는 다항식의 종류를 결정하는데 기초
'수학 > 수치해석' 카테고리의 다른 글
| 14차시 - 미분방정식과 해 1 (1) (0) | 2020.03.31 |
|---|---|
| 13차시 - 수치적분(2) (0) | 2020.03.30 |
| 12차시 - 수치미분 (0) | 2020.03.24 |
| 11차시 - 반복법과 역행렬 (2) (0) | 2020.03.17 |
| 11차시 - 반복법과 역행렬 (1) (0) | 2020.03.17 |