1. 반복법
1) 야코비 반복법이란?
임의로 추측한 방정식의 해가 오차 범위에 도달할 때까지 되풀이 하는 방법
계수 행렬이 0을 많이 포함하는 연립방정식의 해를 구할 경우에 가우스(Gauss)의 소거법 보다 빠르게 수행할 수 있음.
- 방정식의 a11, a22, a33원소의 절대값이 가장 큰 원소로 만듦.

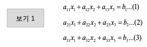
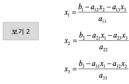
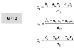
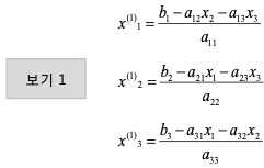
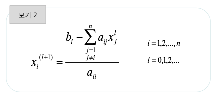
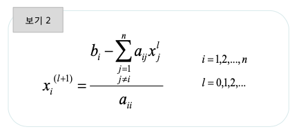
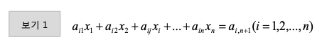
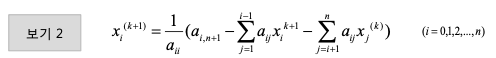
- 해를 구하기 위해서 보기 1의 방정식(1)를 x1에 대해서 (2)를 x2에 대해서, (3)를 x3에 대해서 보기 2와 같이 품.

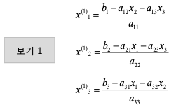
x1, x2, x3의 값을 임으로 추측하고, 추측한 값을 x1^(0),x2^(0),x3^(0)이라함.
x1^(0), x2^(0), x3^(0) 값을 보기 1에 대입하여 x1^(1), x2^(1), x3^(1) 를 구함.


2) 오차한계 지정
- 오차
- 계산기로 연속적인 양을 표현할 때, 이산적인 수치를 이용하여 나타냄.
- 예를 들면 x2=2의 방정식의 올바른 해는 √2=1.414로 무한한 수이지만, 계산기의 내부에서는 유한한 수의 이산적인 수치로 나타냄.
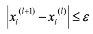
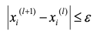
- 실제값(true value)과 다른 근사치(approximation)로 표현 - 절대오차 한계
- 절대오차한계를 ε이라고 할 때 모든 i=1, 2, ..., n에 대해서 다음을 만족하면 해를 택함.

- 상대오차 한계
- 상대오차한계를 τ라고 할 때 모든 i=1, 2, ...n에 대해서 다음을 만족하면 해를 택함.

3) 야코비 반복법의 알고리즘
Set iteration = 1
While(k < = max_iteration)
{
for i = a to N new
if | new X – old X | < TOL
Set iteration = iteration+1
For i=1 to N old
}
stop
4) MATLAB을 이용한 야코비 반복법
A=[7,5,3;2,5,4;2,2,6];
B=[2;2;2];
X0=[0;0;0];
Tol=0.1; %허용오차
Max=100 %허용오차
[n,m]=size(A)
X_old=x0;
C=-A;
For(i=1:n)
C(i,i)=0;
C(i,:)=C(i,:)/A(i,i);
D(i,1)=B(i)/A(i,i);
end
Disp(‘반복횟수 x1, x2, x3, x4....’);
For(i=1:max)
X_new=C*X_old+D;
if(norm(X_new-X_old) <= tol)
disp(‘Jacobi법이 수렴하였습니다.’);
break;
else
end
disp([i,X_new’]);
count=i;
end
if(cound >= max)
disp(‘Jacobi법이 수렴하였습니다.’);
x=X_new
end
X

5) 가우스-사이델 반복법이란?
- 카코비법을 개량한 방법
- 연립방정식에 대응하는 행렬을 두 개의 삼각행렬로 분해한 뒤 해를 반복적으로 계산해 수렴시키는 방식을 사용


6) 가우스-사이델 반복법의 알고리즘

7) MATLAB을 이용한 가우스-사이델 반복법
function [x,G,c] = gsmp(A,b,n,z)
%
% x = gsmp(A,b,n,z)
%
% Gauss-Seidel iteration on system A*x = b with printing
% using matrix multiplication (not optimal)
% n -- number of iterations
% z -- initial vector (default 0)
%
% x -- final iterate
% G -- Gauss-Seidel matrix
% c -- Gauss-Seidel vector
%
if nargin <=3, z=0*b; end
LD = tril(A);
G = -LD\triu(A,1);
c = LD\b;
x=z;
For i = 1:n
x = G*x + c;
fprintf(1, ’%3d ’,i)
fprintf(1,’%5.5f ‘,x’)
fprintf(1,’\n’)
end

8) SOR 방법이란?
- SOR 방법은 Successive Over Relaxation method의 약어, 연속적 완화가속법이라고도 함.
- Gauss-Seidel법을 확장한 방법
- 상수 ω(완화변수, Relaxation Parameter)를 이용
- SOR방법의 k번째 근사값은 SOR방법으로 구한 k-1번째 근사값과 Gauss-Seidel 방법으로 구한 k번째 근사값을 이용하여 Gauss-Seidel방법보다 더 빨리 수렴할 수 있음.
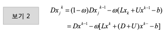
- Gauss-Seidel 방법으로 구한 근사값을 xj 라 하면 SOR방법으로 구한 k번째 근사해는 다음과 같이 정의함.

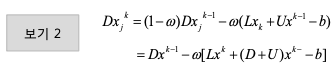
- 보기 1의 양변에 대각행렬 D를 곱함.

- 보기 2와 같이 되어 i=1, 2, ...n에 대하여 보기 3과 같음.

- ω는 보기 4와 같음.

- P는 행렬 D^(-1)*(L+U)의 고유치 중 절대값이 가장 큰 수
9) SOR 방법의 알고리즘

10) MATLAB을 이용한 SOR 법
A=[7,5,3;2,5,4;2,2,6];
B=[2;2;2];
x0=[0;0;0];
W=1.1;
tol=0.1;
max=100;
[n,m]=size(A); %행렬의 크기 구함
X_new=x0;
C=-A;
for(i=1:n) %C,D 행렬로 변환
C(i,i)=0;
C(i,:)=C(i,:)/A(i,i);
D(i,1)=b(i)/A(i,i);
end
disp(‘반복횟수 x1 x2 x3 x4 .......’);
for(i=1:max) %SOR 알고리즘
for(j=1:n)
X_new(j)=(1-W)*X_old(j)+W*(C(j,:)*X_new+D(j));
end
if(norm(X_old-X_new)<=tol) %수렴조건
disp(‘SOR법이 수렴하였습니다.’);
break;
end
disp([i,X_new’]);
count=i;
end
if(cound >= max) %해가 수렴하지 않았을 경우
disp(‘해가 수렴하지 않았습니다.’);
end
x

'수학 > 수치해석' 카테고리의 다른 글
| 12차시 - 수치미분 (0) | 2020.03.24 |
|---|---|
| 11차시 - 반복법과 역행렬 (2) (0) | 2020.03.17 |
| 10차시 - 선형연립방정식과 해 (3) (0) | 2020.03.14 |
| 10차시 - 선형연립방정식과 해 (2) (0) | 2020.03.13 |
| 10차시 - 선형연립방정식과 해 (1) (0) | 2020.03.13 |