2. 뉴턴방법의 수렴
1) 뉴턴방법의 수렴
반복함수 g(x)가 미분 가능하고 그 도함수가 연속이면 충분히 큰 n에 대해서 오차에 관한 근사식

만일 |g'(p)|가 작으면 작을수록 n→∞일 때 en은 더욱 빠른 속도로 0에 근접함.
따라서 g'(p) = 0일 때 그 수렴속도가 제일 빠름.
만일 g(x)가 2차 미분 가능하면, 테일러의 정리로부터

pn은 xn과 p사이에 있는 점 이므로, p-xn = en 이므로 다음의 식을 얻음.

만일 g'(p) = 0이면

g''(x)가 p에서 연속이면 n → ∞일 때 pn →p 이므로 g''(pn) → g''(p)가 됨.
따라서 충분히 큰 n에 대해서 g''(pn) ≈ g''(p) 이므로 다음과 같은 식이 얻어짐.

위 식은 e(n+1)이 en의 2차 함수임을 말하므로 이런 경우에는 x1, x2, x3,⋅⋅⋅이 2차적으로 p에 수렴한다고 함.
2차적으로 수렴하는 것이 1차적 수렴보다 그 속도가 빠름
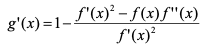
f(p)=0, f'(p) ≠ 0이고 f''(x)가 연속이라 하면 뉴턴 방법에서 반복함수

의 도함수는

이므로 g'(x)는 연속이고 g'(p) = 0이 됨.
따라서 위의 뉴턴 방법은 2차적으로 수렴.
2) 뉴턴방법의 예제(1)
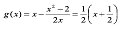
2의 제곱근 √2는 방정식 f(x) = x^2-2 = 0의 근이다. f'(x) = 2x 이므로 앞 장의 식으로 부터 다음 식을 얻음.

x= xn, g(xn) = x(n+1)을 식에 대입하면

x > 0일 때, f'(x) > 0, f''(x) = 2 > 0이므로 이 반복과정은 근으로 수렴함을 알 수 있음.
2) 뉴턴방법의 예제(MATLAB)
f(x)= x^3 +3*x + 1 의 값을 매트랩을 이용하여 뉴턴방법으로 구하여라.


3. 다항식의 근
1) 다항식의 근이란?
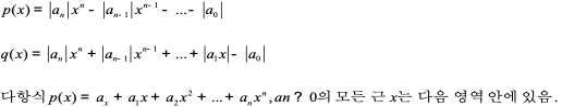
n차 다항식 p(x)는 다음과 같을 때

n = 2 인 경우 p(x)는 2차 다항식이고 근의 공식을 사용하여 근을 구할 수 있음.
3차, 4차 다항식의 경우도 근을 구하는 공식이 있으나 복잡하고 5차 이상부터는 공식이 없음.
따라서 다항식의 근을 구하는 데는 반복법이 많이 사용됨.
※ 대수학의 기본정리
n차 다항식 p(x)는 꼭 n개의 근(실근, 복소수근 중근인 경우 중복도 포함)을 갖음.
2) 데카르트(Descartes) 방법
np를 다항식 p(x)의 양의 근 (positive root)의 개수라 하고 v를 다항식 p(x)의 0이 아닌 계수들의부호가 변하는 횟수라 하면np ≤ v.
또한, v - np 는 우수(even integer)이므로 p(x)의 음의 근의 개수는 p(-x)의 계수의 부호가 변화하는 횟수보다 작거나 같음.
p(x)= x^4 - x^3 - x^2 + x - 1 에서 계수들의 부호는 +, -, -, +, - 이므로 부호가 변한 횟수 v=3 이므로 양의 근의 개수 np는 많아야 3개.
그런데 v - np는 짝수 이어야 하므로 v - np = 0 이나 2 이므로 따라서 np = 1 혹은 3이 되므로 양의 개수는 하나 아니면 세 개 존재.
p(-x) = x^4 + x^3 - x^2 - x - 1 에서 계수들의 부호는 +, +, -, -, - 이므로 부호가 변한 횟수 v=1 이므로 음의 근의 개수 np는 많아야 1개.
그런데 v - np는 짝수 이어야 하므로 v - np = 0 이므로 따라서 np = 0이 되므로 음의 개수는 하나 존재.
그러므로 3개의 양의 근과 1개의 음의 근, 또는 1개의 양의 근과 1개의 음의 근과 2개의 허근.
3) 코시(Cauchy) 정리
다항식 다음의 2개의 근을 각각 R,g이라 하면

g < |x| < R

'수학 > 수치해석' 카테고리의 다른 글
| 10차시 - 선형연립방정식과 해 (2) (0) | 2020.03.13 |
|---|---|
| 10차시 - 선형연립방정식과 해 (1) (0) | 2020.03.13 |
| 9차시 - 방정식의 해법 3 (1) (0) | 2020.03.11 |
| 8차시 - 방정식의 해법 2 (2) (0) | 2020.03.10 |
| 8차시 - 방정식의 해법 2 (1) (0) | 2020.03.09 |