1. 에이킨 방법
1) 에이킨 방법이란?
고정점 반복법보다 수렴속도가 더 빠름
반복함수 g(x)가 미분 가능하고 그 도함수 g '(x)가 연속이라고 가정, 또한 x0로부터 시작해서 반복법으로 수열 x1, x2,⋅⋅⋅을 얻고 이 수열이 한 점 p로 수렴한다고 가정하면 이 점 p가 g(x)의 고정점





앞의 식에서 알 수 있는 것은 (n+1)번째 반복 과정은 n번째 반복 과정에서 일차적인 관계
이런 경우 수열 x1, x2, x3, ⋅⋅⋅은 p에 일차 수렴한다고 함.
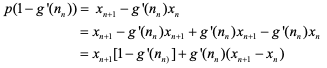
식 g(x) = x^3-1에 en = p-xn을 대입하면

이것을 변형하면

을 얻음.
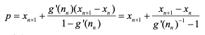
이 것을 p에 관해서 풀면

을 얻음.
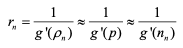
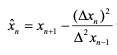
이제 rn을

로 정의 평균값 정리에 의해서

되는 점 ρn이 x(n−1)과 xn 사이에 존재함. 그리고 위의 식을 대입하면

여기서 x(n−1), xn이 p에 수렴하므로 충분히 큰 n에 대해서는 ρn ≈ p ≈ nn 이므로

충분히 큰 n에 대하여




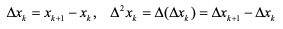
x0, x1, x2를 구한 다음 식을 써서 x1ˆ을 구하고, x1, x2, x3으로 부터 x2ˆ를 구함.
이 방법을 계속하면 수열 x0, x1, x2, ⋅⋅⋅으로부터 식에 의해서 수열 x1ˆ, x2ˆ, x3ˆ, ⋅⋅⋅을 구할 수 있음.
다음 기호를 사용해서 xnˆ 을 표시하는 식을 구해보면


식을 사용해서 위의 값을 구하는 과정을 에이킨의 ∆^2 과정이라고 함.
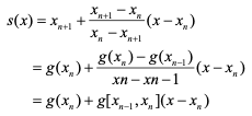
두 점(x(n-1), xn)과 (xn, x(n+1))을 지나는 직선의 방정식을 y = s(x)라 하면

이것은 점 x(n-1), xn에서 g(x)에 대한 1차 보간다항식.
직선 y=s(x)와 직선 y=x의 교점의 x좌표를 구하려면 x=g(xn)+g[x(n-1), xn](x-xn)에 대하여 풀면 됨.
이 x가 바로 위의 식에서 정리한 xn이 되므로,
xnˆ은 두 점 x(n-1), xn()과 (xn, x(n+1))을 지나는 직선과 y = x와의 교점 x가 됨.
한편 y = g(x)가 p와 x(n-1)사이에서 거의 직선에 가까운 곡선이면 xnˆ은 고정점에 아주 가까워 지므로 xnˆ은 p의 좋은 근사값이 됨.
그러나 실제로는 xnˆ이 xn이나 xn+1보다 더 좋은 근사값인지를 증명하는 것이 어려울 때가 많음.
이런 경우 rn의 값을 조사하여 n이 증가할 때, rn이 거의 변하지 않으면
(rn이 상수면 y=g(x)는 직선)


'수학 > 수치해석' 카테고리의 다른 글
| 10차시 - 선형연립방정식과 해 (1) (0) | 2020.03.13 |
|---|---|
| 9차시 - 방정식의 해법 3 (2) (0) | 2020.03.12 |
| 8차시 - 방정식의 해법 2 (2) (0) | 2020.03.10 |
| 8차시 - 방정식의 해법 2 (1) (0) | 2020.03.09 |
| 7차시 - 방정식의 해법 1 (2) (0) | 2020.03.07 |