1. 할선법
1) 할선법이란?
미분을 사용하지않고 두 점의기울기를 통해점을 찾는 방법
이등분 법이나 가위치법에서는 함수 값이서로 반대의부호를 갖는 두 점을 찾아서 시작했으나 할선법에서는 근의 근방에 있는 임의의 두점 x0과x1을 시작점으로 취함
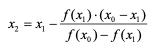
두 점 (x0,f(x0))과 (x1,f(x1))을 지나는 직선이 x축과 만나는 점 xc를 계산하는 방식이 할선법.

xc가 구해지면 x1를 x0로 하고, xc를 x1로 하여 다시 식을 이용하여 계속 수정된 값을 구하는 방식이다.
- 주어진 [a, b]에서 a, b를 x0, x1으로 하여 반복식을 연속적으로 이용하여 근사 해를 계산하는 방법을 할선법 이라고 함.

2) 할선법 알고리즘
1. Set iteration=2
q0=f(p0), q1 = f(p) //p0=a,p1=b
2. while(i ≤ N0) //N0는 최대반복횟수
{
(a) Set p=p1 − q1 * (p1 − p0)/(q1 − q0)
(b) If |f(p)|<TOL Output(p) //TOL은 오차의 한계
Stop
(c) Set iteration=iteration+1
(d) Set p0=p1, q0=q1, p1=p, q1=f(p)
}
3. Output('method failed after %d iteration ' iteration)
3) 할선법 연습문제 (1)
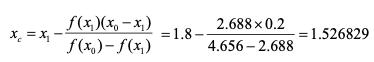
f(x) = x^3-x-1.344=0의 근을 x0=2, x1=1.8을 사용하여 할선법으로 4회 반복 계산하여 구하라.
풀이

이 값을 다시 x0=1.8, x1=1.526829 라고 두어 다시 xc를 구한다.

x값이 점점 1.4로 향해 가고 있는 것을 확인할 수 있다.
3) 할선법 연습문제 (2)
f(x) = x^3-x-1.344=0의 근을 x0=2, x1=1.8을 사용하여 할선법으로 매트랩을 이용하여 구하라.

2. 뉴턴방법
1) 뉴턴방법
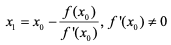
뉴턴방법은 f(x) = 0의 근에서 초기 근사값 x0을 알고 있을 때 점(x0 , f (x0 ))에서 접선을 그어 그 접선이 x축과 만나는 점을 새로운 근사해로 구하는 방법으로 비선형 연립방정식에도 확장이 가능

위의 그림에서와 같이 초기값 x0에 대응하는 점 (x0 , f (x0))에서 함수 f(x)의 접선방정식은 y= f'(x0)(x-x0)+f(x0)이고 이 직선이 x축과 만나는 점 x1은 다음식을 만족

다시 점 (x1, f(x1)에서 함수 f(x)의 접선방정식이 x축과 만나는 점을 x2로 하는 이러한 과정을 반복하여 근사 해를 구함.
비선형방정식 f(x) = 0의 해(y=f(x)의 그래프에서 y = 0를 만족하는 x값)을 구하기위해
(1) 초기값(x0)에서 접선을 그어 접선이 x축과 만나는 점의 좌표를 x1라 하고,
(2) 이 점에서 y축과 평행으로 선분을 그어 곡선 y= f(x)와 만나는 교점을 (x1,y1)
(3) 다시 접선을 그어 x축과 만나는 점의 좌표 x2를 구함
(xn이 수렴할 때까지 (2), (3) 과정 반복)

2) 뉴턴방법에서의 해의 수렴성
정리 1
f(x)가 유한폐구간 [a,b]에서 두 번 연속 미분 가능하고, 다음 조건을 만족한다고 가정

3) 뉴턴방법 알고리즘

4) 뉴턴방법 예제
x^2−4=0의 근사값을 x0 = 5 에서 뉴턴 방법으로 구하여라.
풀이


5) 뉴턴방법 예제(MATLAB)으로 구하기
x^3-x^2-x-1을 매트랩을 이용하여 근을 구하라.


- 근의 값이 1.4로 향하고 있고,
- 할선법에서는 6번만에 수렴하였으나, 뉴턴법으로 하였을 경우에는 4번만에 수렴하였다.
- 따라서 뉴턴법이 할선법보다 수렴속도가 더욱 빠르다는 것을 알 수 있다.
'수학 > 수치해석' 카테고리의 다른 글
| 9차시 - 방정식의 해법 3 (1) (0) | 2020.03.11 |
|---|---|
| 8차시 - 방정식의 해법 2 (2) (0) | 2020.03.10 |
| 7차시 - 방정식의 해법 1 (2) (0) | 2020.03.07 |
| 7차시 - 방정식의 해법 1 (1) (0) | 2020.03.07 |
| 6차시 - 분할차분표와 보간법(2) (0) | 2020.03.06 |