3. 뉴턴의 전향차분 공식
1) 뉴턴의 전향차분 공식
앞에서 구간 [a,b]안의 점 x0 , x1 , ⋅⋅⋅, xn에서 함수 f(x)의 보간다항식 pn(x)를 구할 때 분할차분표를 사용하여 분할차분 f[x0,x1,⋅⋅⋅xn ]을 계산하고 뉴턴공식을 사용했음.
소구간들의 길이가 같은 경우 분할차분보다 더 간단한 전향차분(forward difference)을 사용하여 보간다항식 pn(x)을 구하는 방법에 대해 알아봄.
점a = x0<x1<x2⋅⋅⋅xn = b에 의해 만들어지는 각 소구간의 길이가 같다고 가정하자. 구간 [a,b]를 N등분을 h = (b − a)/N 로 놓으면,

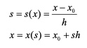
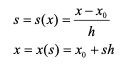
이고, 각 점에서의 함수값을 알고 있다고 가정할 때 다음과 같은 선형변수변환을 사용하면 편리함

구간 [a, b]에 있는 임의의 점x를 x0+sh로 나타낼 수 있으므로 f(x)를 다음과 같은 식으로 바꾸어 나타낼 수 있음.

즉, 선형변수변환 공식을 사용하면 차수 n인 x의 다항식을 차수 n인 s의 다항식으로 바꿀 수 있음.
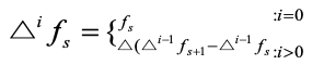
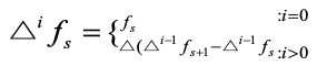
전향차분은 다음과 같이 정의됨.

또, 전향차분과 분할차분 사이에는 다음과 같은 관계가 있음.

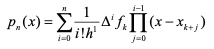
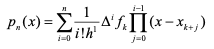
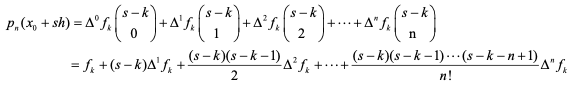
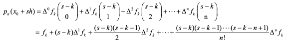
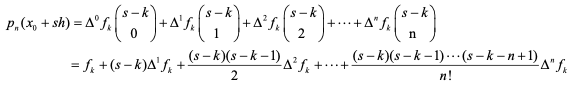
pn(x)를 점xk, xk+1, ⋅⋅⋅, xk+n에서 f(x)의 보간다항식이라 하면 앞장의 식 f[xk, x(k+1), ⋅⋅⋅, x(k+i)]= 1/(i!*h^l)*∆^i*fk을 뉴턴공식에 대입하여 다음과 같은 식을 얻을 수 있음.


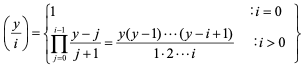
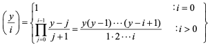
이항함수(binomial function)을 이용하면 좀 더 간단한 식으로 표시 가능
임의의실수 y와 임의의정수 i ≥ 0에 대해서 이항함수 (y/i)를 다음과 같이 정의한다.

y가 양의 정수이면 (y/i)는 이항계수(binomial coefficient)가 됨.

이 식을 점 xk +ih(i=0,1,2, ⋅⋅⋅, n)에 f(x)의 보간다항식에 대한 뉴턴의 전향차분공식(forward difference formula)이라함.
특히, k=0인 경우, 즉 보간점을 x0 , x1 , x2 , ⋅ ⋅ ⋅, xn 으로 잡으면 뉴턴의 전향차분공식은 다음과 같음.

계수∆^i*fk는 전향차분표(forward difference table)에 의해 쉽게 구할 수 있음.
4. 접촉보간법
1) 접촉보간법
보간다항식을 구할 때에는 구간[a,b] 안에 있는 점x0,x1,⋅⋅⋅,xn이 서로 다른 경우만 고려했음.
이 점들이 서로 다른 점들이라는 가정을 하지 않고 보간다항식을 구하는 방법 소개
점 x0 , x1 , ⋅ ⋅ ⋅, xk 가 구간 [a,b]안에서 서로 다른 점일 때 f(x)의 k차 분할차분 f[ x0 , x1 , ⋅ ⋅ ⋅, xk ]를 차수가 k보다 크지않은 보간다항식 pk(x)의 최고차 계수 (x^k의계수)로 정의
이 점들 중에서 서로 같은 점들이 있는 경우에 pk(xi ) = f(xi)의 의미를 알아봄.
점 x0 , x1 , ⋅ ⋅ ⋅, xk 들 중에서 m번 나타나는 점 x에 대해서

보간다항식이 한 점c에서 f(x)와 (m+1)번 접촉할 때 (m번같을때) 접촉보간(osculating interpolation)이라 함.
2) 스플라인
- 스플라인(spline)은 매끄러운(smooth)곡선을 그리기 위해 제도하는 도구에서 유래
- 급격하게 변하는 데이터를 나타내는데 적합한 방법
- 두 점 사이의 각 구간에 대해 스플라인으로 불리는 낮은 차수의 다항식들을 이용
- 스플라인은 앞, 뒤 구간의 다항식들과 자연스럽게 연결될 수 있도록 선택
- 여러 개의 데이터를 연결할 때 기울기와 곡률도 연속이 되면 매끄럽게 연결

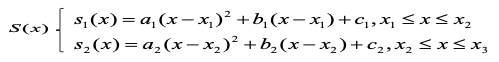
3) 2차 스플라인
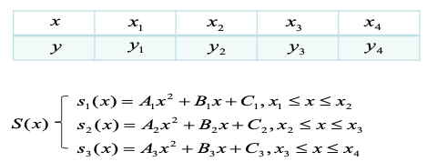
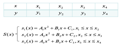
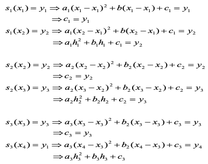
- 다음과 같이 4개의 데이터가 주어졌을 때, 2차 스플라인을 구하기 위해 다음과 같은 다항식을 이용

- S(x)는 전체 구간에 정의된 함수, Si (x)는 각각의 소구간에 정의된 함수
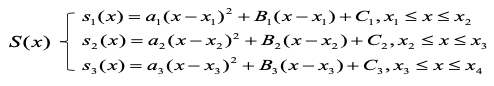
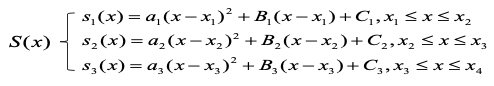
- 계산을 줄이기 위해 다음과 같이 변경하여, 전개하여 6개의 미지수를 얻음.


- 6개의 미지수를 얻음
- 3개의 미지수가 부족
- 중앙에 존재하는 곡선이 만나는 점의 기울기를 같게 하여 미지수2개를 얻음


- 부족한 3개의 미지수 중 2개를 얻음.
- 부족한 하나의 미지수는 x=x1에서 기울기가 0으로 가정
- 즉 S1’(x1)=b → b1=0
- 이렇게 구한 9개의 미지수로 2차 스플라인을 구함.
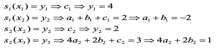
4) 2차 스플라인 예제
- 다음과 같은 3개의 데이터를 사용하여 2차 스플라인을 구하라.
- 구한 스플라인을 이용하여 X=3일 때의 값을 예측하라.

- 3개의 데이터가 있으므로 2개의 소구간이 존재

- 계산을 줄이기 위해 식을 변경

- 매듭(x=2)에서 기울기가 같아야 함.

- x=x1에서 기울기를 0으로 가정
- S’1(x1)=0 → b1=0
- a1=-2, a2=2.25, b2=-4
'수학 > 수치해석' 카테고리의 다른 글
| 7차시 - 방정식의 해법 1 (2) (0) | 2020.03.07 |
|---|---|
| 7차시 - 방정식의 해법 1 (1) (0) | 2020.03.07 |
| 6차시 - 분할차분표와 보간법(1) (0) | 2020.03.06 |
| 5차시 - 보간다항식(2) (0) | 2020.03.05 |
| 5차시 - 보간다항식(1) (0) | 2020.03.05 |