1. 보간법
1) 보간법의 정의
보간법이란?
- 측정하지않았거나, 측정할 수 없는 값을 구해야 할 경우에사용
- x0 <x1 <⋅⋅⋅<xn 으로 주어진 n+1개의 변수에 대한 함수값을 알고있을 때, 이들 n+1개읠 모든 점을 통과하는 근사함수를 이용하여, 구간 [x ,x ]내의 임의의 점에 대한 함수 값을 구하는 방법을 보간법이라고 함.
- 보간 함수로는 다항식이 주로 사용됨.
다항식을 이용한 보간법
- f(x)=a0+a1*x+a2*x^2+⋅⋅⋅+an*x^n 인 다항식에서 (n+1)개의 데이터들이 존재한다면, 모든 점들을 통과하는 다항식은 차수가 n으로서 유일한 다항식
2) 선형보간법의 정의
선형보간법(Linear Interpolation)
- 보간법중 가장 간단한 방법으로, 주어진 두 점을 이은 직선의방정식을 근사 함수로 사용하는 방법
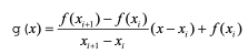
- 함수 f(x)가 폐구간 [a,b] 위에서 정의되고, 이 구간에 있는 n개의 점x1,x2,⋅⋅⋅,xn에 대하여 각각의 함수 값을 알면 이 때, 임의의 두 점
(xi , f(xi)), (xi +1, f(xi +1))을 지나는 직선의 방정식은 다음과 같이 표현됨.

- 위의 식에서, g(x)는 (xi ,xi +1) 사이의 임의의 x값에 대한 선형보간값이 됨.
3) 선형보간법 사용법
선형보간법 사용하기
- 두 개의 점이 주어졌을 경우, 두 점을 지나는 함수f (x)를 직선의 방정식으로 구함.
- p(x)=a0+a1*x 를 직선의 방정식이라고 하면, 두 점 (x0 , f ( x0 )), ( x1 , f ( x1 ))를 지나는 직선을 구할 수 있음.

일반적으로 데이터 점들 사이의 간격이 작으면 작을수록 더욱 좋은 근사값을 얻게 됨.
→ 간격이 감소함으로써 연속함수를 직선으로 근사 시키기가 좋기 때문.
4) 선형보간법의 예 (자연로그 ln2 계산)

5) MATLAB에서 선형보간법 사용하기
x=[40 48 56 64 72 80]; % x 데이터 입력
y=[1.33 1.67 2.08 2.36 2.71 3.19]; % y 데이터 입력
plot(x,y,’o-’) % 그래프 그려줌
interp1(x,y,52) % x값이 52일 때 y에 해당하는 값을 구함
Ans = 1.8750
'수학 > 수치해석' 카테고리의 다른 글
| 6차시 - 분할차분표와 보간법(1) (0) | 2020.03.06 |
|---|---|
| 5차시 - 보간다항식(2) (0) | 2020.03.05 |
| 4차시 - 오차해석(2) (0) | 2020.03.04 |
| 4차시 - 오차해석(1) (0) | 2020.03.04 |
| 3차시 - MATLAB과 2차원 그래프(2) (0) | 2020.03.03 |