1. 표본평균에 대한 가설검정

1-1. Z검정
1. Z검정을 위한 임계치
Z검정은 표준정규분포를 이용하여 모수를 검정하는 것. 표본통계량의 확률분포가 정규분포를 따르는 경우에 Z검정을 실시할 수 있음. Z검정을 수행할 수 있는 경우는 크게 모평균에 대한 가설검정과 모비율에 대한 가설검정.
일반적으로 유의수준은 1%, 5%, 10%를 많이 사용하므로 Z검정을 실시하는 경우에는 해당 유의수준에 대한 임계치를 기억하고 있는 것이 유리.

2. Z검정을 통한 모평균의 가설검정
(1) 모분산이 알려져 있고 정규모집단인 경우
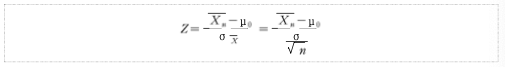
유의수준이 주어지면 양측검정, 단측검정의 여부에 따라 임계치를 계산하고 표본정보에 따라 검정통계량을 계산. 검정통계량은 Z값으로 계산되며 임계치보다 검정통계량의 값이 더 멀리 발생, 기각역에 속하면 귀무가설을 기각함. 검정통계량 Z는 다음과 같이 계산.

(2) 대표본의 경우
중심극한정리에 의해 표본의 크기가 충분히 크면 표본평균은 정규분포를 근사적으로 따르게 되므로 Z검정으로 귀무가설을 검정할 수 있음. 만약 모분산이 알려져 있지 않다면 표본분산으로 대체하여 검정통계량을 계산. 표본분산으로 대체하여 Z값을 계산하면 다음과 같음.

<예제>
S은행의 고객은 평균 1000만원의 금액을 장기 금융상품에 투자하고 있는 것으로 알려져 있고 모분산은 1002만원이다. 최근 경기침체로 인해 고객들의 투자성향이 달라진 것으로 보고 64명의 고객을 조사한 결과 평균 투자 금액은 975만원으로 나타났다. 전체 고객의 장기 금융상품 투자금액이 평균 1000만원과 달라졌다는 것을 의미하는지 유의수준 1%에서 검정하라. 또한 신뢰구간 계산을 통하여 가설을 검정하라.
<해설>

1-2. t검정
1. t검정의 적용 상황
정규모집단에서 모평균을 검정할 때 모분산이 알려지지 않은 경우는 자유도 n-1의 t검정을 수행함. 모분산이 알려지지 않은 경우라도 대표본이면 Z검정을 수행할 수 있음. 그러나 소표본의 경우에는 모분산을 모르면 t분포를 이용해야 하며 모집단이 정규분포라는 가정이 반드시 필요. 소표본의 경우는 모분산이 알려져 있는지의 여부와 상관없이 모집단이 정규 분포라는 가정이 있어야지만 모수에 대한 추정과 검정을 수행할 수 있음.
2. t검정 절차

3. t검정을 위한 검정통계량
검정통계량 t값은 표준오차를 s로 설정하여 다음과 같이 구함.

<예제>
(주)치용은 새로운 교육방법을 통해 종업원의 업무능력이 향상되었는지의 여부를 검정하고자 한다. 새로운 교육방법을 훈련받은 종업원 7명을 조사한 결과 1일 평균 업무처리 건수는 23건, 표준편차는 9로 나타났다. 기존의 종업원은 일일 평균 15건의 업무를 처리할 수 있었고 종업원의 업무처리건수는 정규분포를 따른다고 할 때 유의수준 5%에서 교육방법이 효과가 있었는지의 여부를 검정하라.
<해설>

2. 표본비율에 대한 가설 검정
2-1. 모비율의 검정을 위한 가설 형태
np≥5, nq≥5인 경우 표본비율의 확률분포는 근사적으로 정규분포를 따름. 따라서 모비율에 대한 가설 검정을 Z검정으로 수행 가능. 모비율을 검정하기 위한 가설의 형태는 다음과 같이 표현.

2-2. 모비율 검정을 위한 검정통계량
모비율을 검정하기 위한 검정통계량 Z는 np≥5, nq≥5인 경우 평균 p, 분산 pq/n를 갖는 표본비율의 분포에 따라 다음과 같이 계산. 검정절차는 모평균의 경우와 동일.

<예제>
N은행은 텔레뱅킹의 이용을 권장하기 위해 한 달간 텔레뱅킹 가입 고객에게 수수료를 면제해주기로 한다. 이러한 서비스에도 불구하고 N은행은 한 달 후 텔레뱅킹 가입자가 많아야 이용고객의 70%일 것으로 가정하고 있다. 100명의 고객을 대상으로 가입 여부를 조사했을 때 75명이 가입했다면 N은행의 가정은 사실인지의 여부를 유의수준 10%에서 검정하라.
<해설>

3. 모분산에 대한 가설 검정
3-1. 모분산 검정을 위한 가설 형태
모분산에 대한 가설을 검정하기 위해서는 카이제곱 분포를 이용함. 가설의 형태는 모평균 및 모비율의 검정과 마찬가지로 귀무가설과 대립가설을 각각 세 가지 형태로 구분 가능.

3-2. 모분산 검정을 위한 임계치
양측검정인가, 단측검정인가의 여부와 유의수준이 주어지면 표본의 크기에 따른 자유도를 갖는 임계치를 선정할 수 있음. 임계치는 χ변수의 값으로 나타나며 검정의 형태에 따라 다음과 같이 표현.

3-3. 모분산 검정을 위한 검정통계량
검정통계량은 카이제곱 변수로 전환하는 식에 표본의 정보를 대입하여 계산되며 주어진 임계치와 비교하여 검정통계량의 값이 더 멀리 나타나면 귀무가설을 기각. 검정통계량은 다음의 식에 의해 계산.

4. p값에 의한 가설검정
4-1. p값(p-Value)의 적용
p값(p-value)이란 검정통계량 θ이 이미 관찰된 검정통계량의 값 θ0보다 더 멀리 관찰될 확률이라고 정의. p값은 계산된 검정통계량에 의해 구해지는 확률이며 귀무가설이 기각될 최소의 유의수준.
4-2. p값의 해석
많은 통계 패키지에서는 의사결정자에게 다양한 의사결정을 내리게 하기위해 하나의 유의수준에 대한 가설검정 결과를 제시하는 것이 아니라 p값을 제시하고 있음. 주어진 유의수준에서 귀무가설을 기각할 수 있는 경우는 유의수준에 따른 임계치보다 계산된 검정통계량이 더 멀리 관찰될 때. 이 경우에 계산된 검정통계량을 기준으로 하여 더 멀리 나타나는 곡선의 면적은 더 좁아지게 됨. 따라서 p값은 선정된 유의수준보다 작아야 귀무가설을 기각할 수 있음. p값이 작을수록 귀무가설이 사실일 확률은 작아진다는 의미. 그림에서 귀무가설이 기각되는 상황을 표시하면 다음과 같음.


참고문헌 : Big Data 시대에 반드시 알아야 할 기초 통계지식/Ubion
'통계학 > 기초통계학' 카테고리의 다른 글
| 15차시 - 상관분석과 회귀분석 (0) | 2020.02.22 |
|---|---|
| 14차시 - 두 모집단 차이에 대한 추론 (0) | 2020.02.20 |
| 12차시 - 표본크기 결정 및 가설검정 기초 (0) | 2020.02.18 |
| 11차시 - 표본비율 및 표본분산의 확률분포 (0) | 2020.02.17 |
| 10차시 - 연속확률분포 및 표본평균의 확률분포 (0) | 2020.02.16 |